WAVESAPP Share Price History

Performance

Ratios

Dividend Data (TTM Data)

Ownership

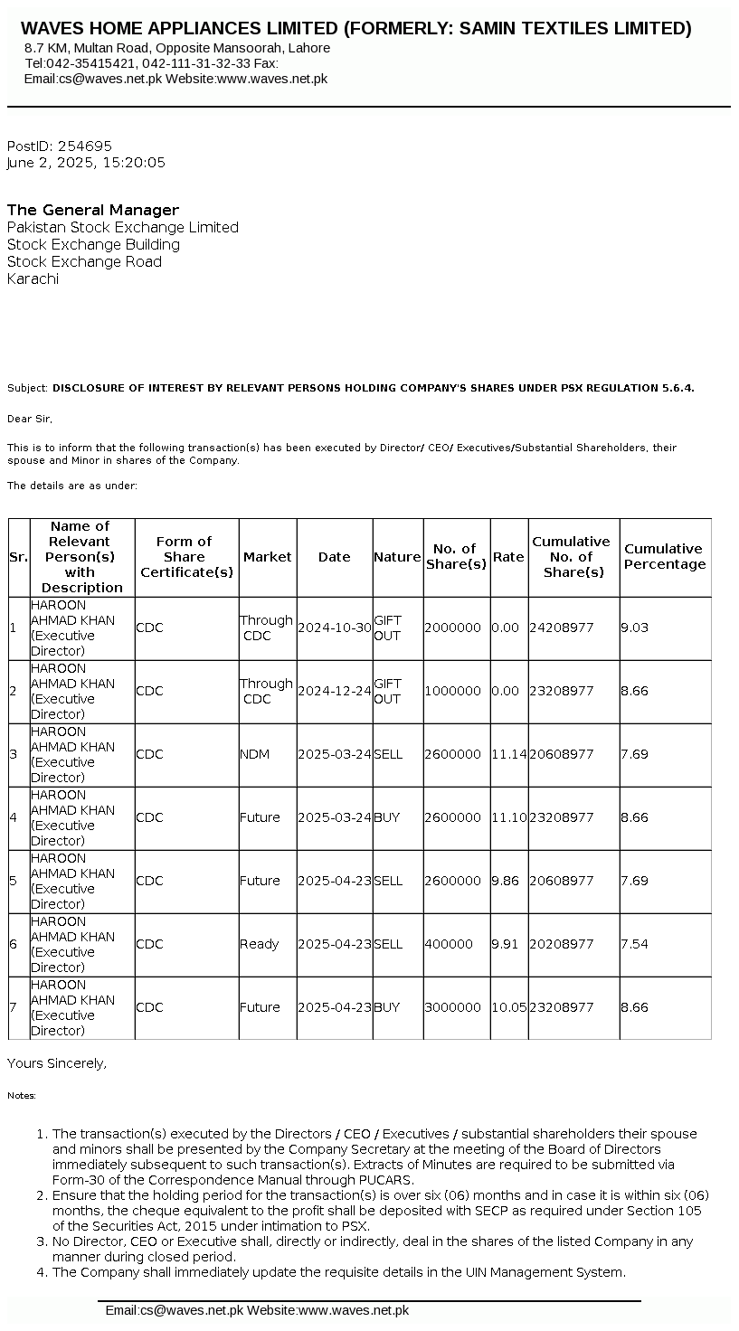
Insider Transactions

Company Reports

Announcements

About Company